(通讯员:刘乐全)近年来,光催化水分解因其能将太阳能直接转化为化学燃料而受到广泛的关注。然而,其析氧半反应因涉及复杂的四电子转移过程和O-O键形成,而成为光催化水分解的决速步骤。这主要表现在光催化水氧化的反应动力学缓慢上,例如通常光吸收、光生载流子分离和表面反应分别处在皮秒到纳秒、微秒到毫秒和毫秒到秒的时间尺度。过往研究主要集中在通过负载助催化剂(如RuO2、IrO2等)来提高反应效率;然而,这除了造成对贵金属的依赖外,还往往伴随着对助催化剂负载精确控制的要求。因此,开发简单有效的策略来提高光催化水氧化性能是目前该领域的重大挑战之一。

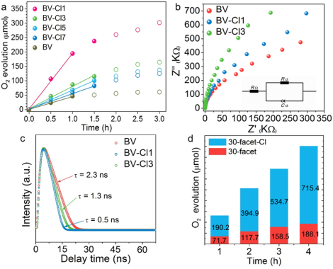
图1. BV-Cl的光催化水氧化性能及其他表征:(a) BV及BV-Cl的光催化氧析出量测试图;(b) BV及BV-Cl的电化学阻抗谱图;(c)时间分辨荧光发射光谱;(d)氯修饰的30面体钒酸铋光催化活性对比。
近日,材料学院在Nano Energy (2021, 81, 105651)上发表题为"A novel Cl-modification approach to develop highly efficient photocatalytic oxygen evolution over BiVO4with AQE of 34.6%"的研究工作。在该工作中,实验人员通过卤素(以Cl-为代表)表面修饰策略显著提升钒酸铋半导体的光催化产氧性能,并对作用机制进行了深入研究。实验结果表明,氯修饰钒酸铋(BV-Cl)在420 nm光照下,表观量子效率(AQE)可达34.6%,超过了绝大多数负载助催化剂后钒酸铋的效率,是目前公开报道中该材料最高的AQE之一。同时,该策略具有良好的普适性,对已具特定形貌的钒酸铋材料进行处理后,其性能同样得到大幅提升。

图2.模拟计算及动力学研究:(a) BV(黑色)和BV-Cl (红色)的(110)面上水氧化中间物种形成所需自由能的谱图;(b) BV和BV-Cl上的氧析出速率与光强度之间的关系;(c) BV和BV-Cl的水分解速率与温度之间的关系;(d) BV和BV-Cl反应所需活化能(Ea)的示意图。
一系列研究表明,氯修饰不仅能增强电荷载流子分离,更重要的是显著加速了光生空穴参与的水氧化表面反应。具体而言,氯修饰能够明显降低水氧化所需的能垒并可能伴随着反应路径的改变,同时促进水分子活化,显著加快了水氧化的反应动力学。另外,作者对Cl-在表面的结合形式、空间分布以及稳定性等进行了研究。本工作为开发高效的水氧化光催化剂提供了一种简易且有效的方法,同时打破了传统催化中氯中毒的观念,为未来设计高效光催化材料提供了新思路。
张琪琪为该论文的第一作者,刘乐全副教授为通讯作者。该工作得到国家自然科学基金和北洋青年学者计划的资助。全文链接:https://doi.org/10.1016/j.nanoen.2020.105651