新闻动态>>
现在位置 : 首页 > 新闻中心 > 新闻动态 > 正文
我院在金属材料织构设计与调控领域取得进展
添加时间:2020-10-22 13:34:23  

目前被广泛应用的金属材料多数具有多晶结构,其晶粒取向及分布(“织构”)对材料的宏观性能具有十分重要的影响。人为设计与调控多晶材料的织构,探索与揭示材料织构与性能的内在关联,进而开发高性能的结构与功能材料是目前金属材料研究的热点和难点。薄膜与涂层材料的织构通常受其表面能的强烈控制:对于面心立方金属来说,一般形成{111}织构,因为其(111)面为密排面,表面能最低。另外,由于(100)面具有较低的双轴模量,因此,{100}织构的形成可以降低薄膜中的弹性应变能。表面能最小化与应变能最小化之间竞争的结果可能会导致金属簿膜从{111}织构到{100}织构的演化。相比之下,{110}织构同时具有高表面能与高弹性应变能,普遍被认为难以在面心立方金属薄膜中出现。

天津大学材料学院金属结构材料研究团队与瑞士联邦材料科学与技术实验室合作,在针对镍及镍-钼合金的研究中,惊奇地发现热处理导致了几乎完美的{110}织构的形成。研究团队通过构建定量热力学模型,系统地揭示了反常{110}织构形成的原因:在较大热错配应力驱动下,镍晶体屈服各向异性导致其[110]取向的晶粒相对其它取向优先发生塑性形变,从而降低体系总能量并发生{110}织构择优生长。该工作为通过材料设计和织构调控获得新型结构与功能材料提供了思路,相关研究成果近期以“Anomalous texture development induced by grain yielding anisotropy in Ni and Ni-Mo alloys”为题发表于Acta Materialia 200 (2020) 857-868。

在硅基底上沉积的镍和镍钼合金薄膜的退火过程中,研究人员发现具有高表面能与高应变能的{110}织构随着退火温度升高逐渐生长,异常地演化为择优织构(图1、图2)。而一般被认为能量最低的(111)面的衍射峰的强度却逐渐减小,并在温度高于700℃时几乎消失。随着钼含量的增加,晶粒生长速度以及织构演化速度减小(图1d)。

图1.(a)Ni,(b)Ni97.6Mo2.4,(c)Ni93.7Mo6.3在不同温度下退火XRD衍射图,(d)(220)和(111)衍射峰强度比随温度的变化。

图2. 700℃下退火后镍薄膜的(a)EBSD取向图和(b)极图和(c)反极图。

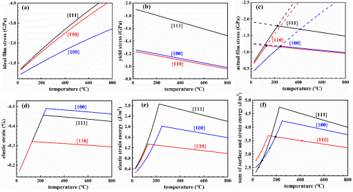
定量织构热力学模型计算表明,这种{110}织构的异常演化,根本上源于镍晶粒的屈服各向异性。薄膜(镍)与基底(硅)之间热膨胀系数差异大,在较高的温度下会产生较大的热错配(图3a)。在较低的温度下,由于热应变能小,所以表面能最低的[111]取向晶粒优先生长。随着退火温度升高,热应变能占主导,应变能最低的[100]取向晶粒理应择优生长。然而,由于晶粒屈服的各向异性,屈服强度最低的[110]取向的晶粒最先发生塑性形变(图3b和3c),极大降低了体系的弹性应变能(图3e)。因此,在高温下,[110]取向晶粒的表面能与应变能总和最低,逐渐演化为择优织构(图3f)。

图3.镍薄膜中(a)理论总应力(初始残余应力与热应力之和)、(b)不同取向晶粒的屈服强度、(c)真实应力、(d)弹性应变、(e)弹性应变能以及(f)表面能与弹性应变能总和随温度的变化。

在晶粒屈服各向异性模型计算的基础上,研究组构建了基于镍薄膜{111}、{100}和{110}织构的“织构图”(图4),可以预测不同膜厚下各种织构间的转变温度。该模型已被成功应用于铜、铝等不同纯金属体系,并且可以广泛扩展到其他半导体与合金体系。

图4. 基于晶粒屈服各向异性模型计算构建的镍薄膜织构图。

该研究工作得到了国家重点研发计划和国家自然科学基金的资助与支持。